Document Page: First | Prev | Next | All | OCR | This Release | Search

File: 042496_mar_decls101_0003.gif
Page: 0003
Total Pages: 17


Document Page: First | Prev | Next | All | OCR | This Release | Search


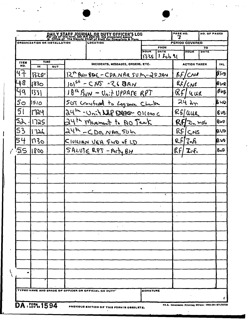
Document 17 f:/Week-12/BX000024/DUTY LOG G3 TAC CP 31 JAN 91/daily staff journal or duty officers log:041796160120115
Control Fields 17
File Room = mar96_declassified
File Cabinet = Week-12
Box ID = BX000024
Unit = XVIII CORPS
Parent Organization = ARCENT
Folder Title = DUTY LOG G3 TAC CP 31 JAN 91
Folder Seq # = 67
Subject = DAILY STAFF JOURNAL OR DUTY OFFICERS LOG
Document Seq # = 2
Document Date = 01-JAN-1980
Scan Date = 27-MAR-1996
Queued for Declassification = 01-JAN-1980
Short Term Referral = 01-JAN-1980
Long Term Referral = 01-JAN-1980
Permanent Referral = 01-JAN-1980
Non-Health Related Document = 01-JAN-1980
Declassified = 17-APR-1996