Document Page: First | Prev | Next | All | OCR | This Release | Search

File: 102596_jun96_decls54_0004.gif
Page: 0004
Total Pages: 15


Document Page: First | Prev | Next | All | OCR | This Release | Search


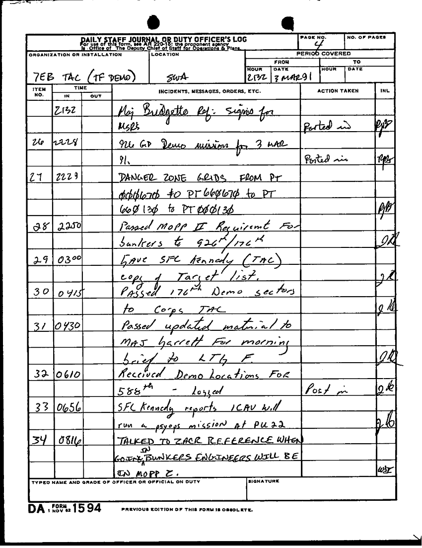
Document 15 f:/Week-24/BX000211/TASK FORCE DEMO LOG 2-14 MAR 91/daily staff journal or duty officer log:10189613580268
Control Fields 17
File Room = jun96_declassified
File Cabinet = Week-24
Box ID = BX000211
Unit = VII CORPS
Parent Organization = ARCENT
Folder Title = TASK FORCE DEMO LOG 2-14 MAR 91
Folder Seq # = 17
Subject = DAILY STAFF JOURNAL OR DUTY OFFICER LOG
Document Seq # = 2
Document Date =
Scan Date =
Queued for Declassification = 01-JAN-1980
Short Term Referral = 01-JAN-1980
Long Term Referral = 01-JAN-1980
Permanent Referral = 01-JAN-1980
Non-Health Related Document = 01-JAN-1980
Declassified = 18-OCT-1996