Document Page: First | Prev | Next | All | OCR | This Release | Search

File: 120396_jun96_decls5_0005.gif
Page: 0005
Total Pages: 7


Document Page: First | Prev | Next | All | OCR | This Release | Search


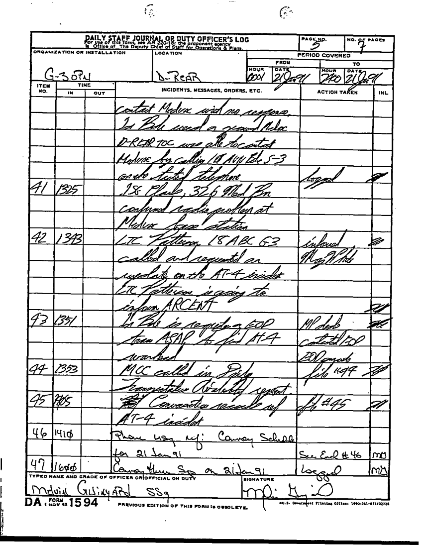
Document 7 f:/Week-22/BX001605/101ST ABN DIV AASLT DUTY LOG JAN 91-D/daily staff journal 21 jan 91:11089615141516
Control Fields 17
File Room = jun96_declassified
File Cabinet = Week-22
Box ID = BX001605
Unit = 101ST ID
Parent Organization = XVIII CORPS
Folder Title = 101ST ABN DIV AASLT DUTY LOG JAN 91-D
Folder Seq # = 58
Subject = DAILY STAFF JOURNAL 21 JAN 91
Document Seq # = 65
Document Date =
Scan Date =
Queued for Declassification = 01-JAN-1980
Short Term Referral = 01-JAN-1980
Long Term Referral = 01-JAN-1980
Permanent Referral = 01-JAN-1980
Non-Health Related Document = 01-JAN-1980
Declassified = 08-NOV-1996