Document Page: First | Prev | Next | All | OCR | This Release | Search

File: 123096_may96_decls3_0073.gif
Page: 0073
Total Pages: 79


Document Page: First | Prev | Next | All | OCR | This Release | Search


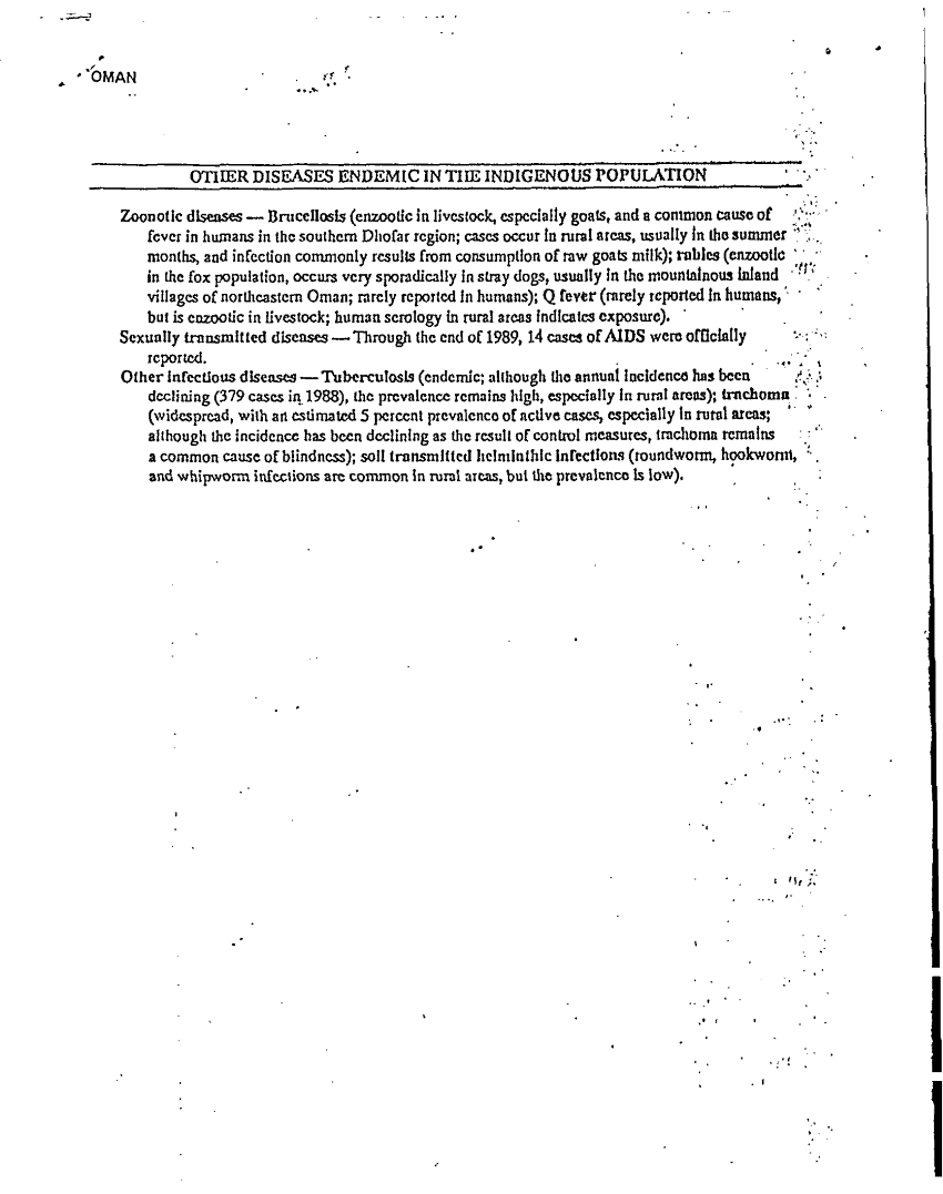
Document 79 f:/Week-22/BX001433/MEDICAL REPORTING-DIVISION SURGEON/medical report 14 aug 90:12179611151420
Control Fields 17
File Room = may96_declassified
File Cabinet = Week-22
Box ID = BX001433
Unit = 24TH ID
Parent Organization = XVIII CORPS
Folder Title = MEDICAL REPORTING-DIVISION SURGEON
Folder Seq # = 456
Subject = MEDICAL REPORT 14 AUG 90
Document Seq # = 17
Document Date =
Scan Date =
Queued for Declassification = 01-JAN-1980
Short Term Referral = 01-JAN-1980
Long Term Referral = 01-JAN-1980
Permanent Referral = 01-JAN-1980
Non-Health Related Document = 01-JAN-1980
Declassified = 17-DEC-1996