Document Page: First | Prev | Next | All | OCR | This Release | Search

File: 970101_apr96_decls5_0098.gif
Page: 0098
Total Pages: 110


Document Page: First | Prev | Next | All | OCR | This Release | Search


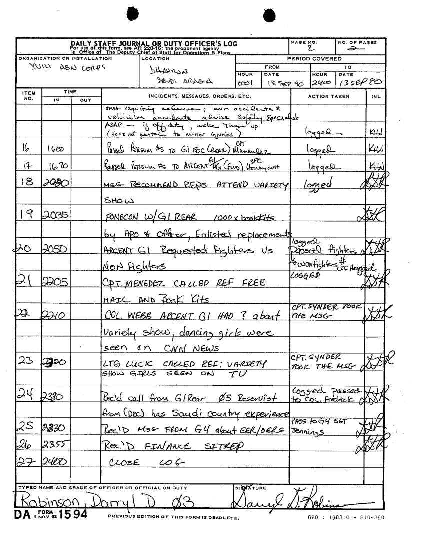
Document 110 f:/Week-15/BX000043/DUTY LOG G1 1-15 SEP 90/daily staff journal or duty officers log:12269616083010
Control Fields 17
File Room = apr96_declassified
File Cabinet = Week-15
Box ID = BX000043
Unit = XVIII CORPS
Parent Organization = ARCENT
Folder Title = DUTY LOG G1 1-15 SEP 90
Folder Seq # = 90
Subject = DAILY STAFF JOURNAL OR DUTY OFFICERS LOG
Document Seq # = 2
Document Date =
Scan Date =
Queued for Declassification = 01-JAN-1980
Short Term Referral = 01-JAN-1980
Long Term Referral = 01-JAN-1980
Permanent Referral = 01-JAN-1980
Non-Health Related Document = 01-JAN-1980
Declassified = 26-DEC-1996