Document Page: First | Prev | Next | All | OCR | This Release | Search

File: 970107_jun96_decls8_0002.gif
Page: 0002
Total Pages: 4


Document Page: First | Prev | Next | All | OCR | This Release | Search


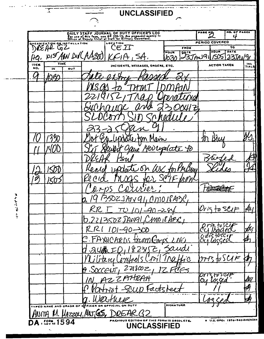
Document 4 f:/Week-22/BX001605/101ST ABN DIV AASLT DUTY LOG JAN 91-F/daily staff journal:01029718421612
Control Fields 17
File Room = jun96_declassified
File Cabinet = Week-22
Box ID = BX001605
Unit = 101ST ID
Parent Organization = XVIII CORPS
Folder Title = 101ST ABN DIV AASLT DUTY LOG JAN 91-F
Folder Seq # = 60
Subject = DAILY STAFF JOURNAL
Document Seq # = 36
Document Date =
Scan Date =
Queued for Declassification = 01-JAN-1980
Short Term Referral = 01-JAN-1980
Long Term Referral = 01-JAN-1980
Permanent Referral = 01-JAN-1980
Non-Health Related Document = 01-JAN-1980
Declassified = 02-JAN-1997