Document Page: First | Prev | Next | All | OCR | This Release | Search

File: 970501_mar96_sagwi1_0013.gif
Page: 0013
Total Pages: 80


Document Page: First | Prev | Next | All | OCR | This Release | Search


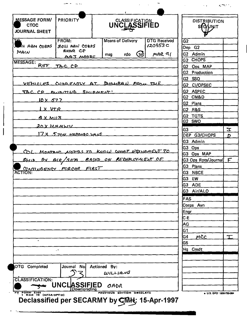
Document 80 f:/Week-10/BX000022/DUTY LOG G3 MAIN 12 MAR 91/daily staff journal or duty officers log:0418971637442
Control Fields 17
File Room = mar96_declassified
File Cabinet = Week-10
Box ID = BX000022
Unit = XVIII CORPS
Parent Organization = ARCENT
Folder Title = DUTY LOG G3 MAIN 12 MAR 91
Folder Seq # = 64
Subject = DAILY STAFF JOURNAL OR DUTY OFFICERS LOG
Doc Seq # = 2
Doc Date =
Scan Date =
Queued for Declassification = 14-MAR-1996
SAGWI Request = 11-APR-1997
Long Term Referral = 01-JAN-1980
Permanent Referral = 01-JAN-1980
Non-Health Related Document = 01-JAN-1980
Declassified = 18-APR-1997