Document Page: First | Prev | Next | All | OCR | This Release | Search

File: 102996_sep96_decls17_0003.gif
Page: 0003
Total Pages: 3


Document Page: First | Prev | Next | All | OCR | This Release | Search


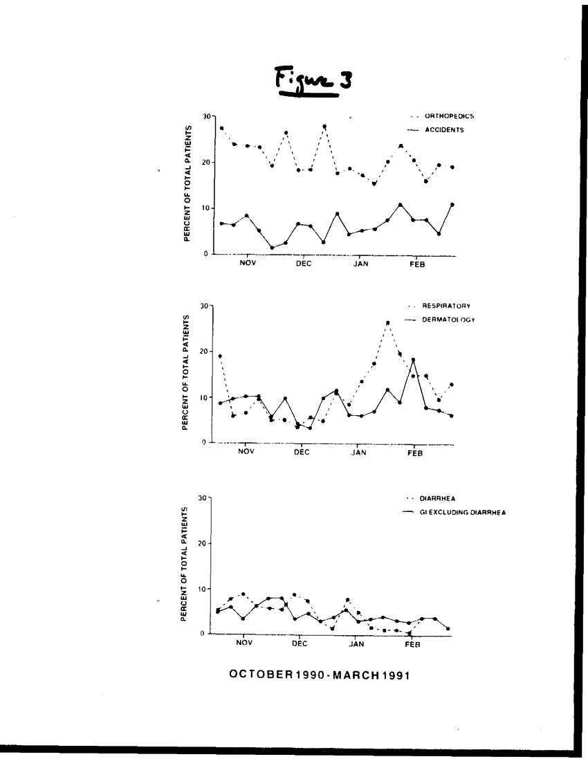
Document 3 f:/Week-36/BX003204/SURVEY OF OUTPATIENT VISITS DURING OPERATION DESERT SHIELD/figure 1:10259613063718
Control Fields 17
File Room = sep96_declassified
File Cabinet = Week-36
Box ID = BX003204
Unit = OTSG
Parent Organization = HSC
Folder Title = SURVEY OF OUTPATIENT VISITS DURING OPERATION DESERT SHIELD
Folder Seq # = 3
Subject = FIGURE 1
Document Seq # = 2
Document Date =
Scan Date =
Queued for Declassification = 01-JAN-1980
Short Term Referral = 01-JAN-1980
Long Term Referral = 01-JAN-1980
Permanent Referral = 01-JAN-1980
Non-Health Related Document = 01-JAN-1980
Declassified = 25-OCT-1996