Document Page: First | Prev | Next | All | OCR | This Release | Search

File: 970101_sep96_decls19_0007.gif
Page: 0007
Total Pages: 12


Document Page: First | Prev | Next | All | OCR | This Release | Search


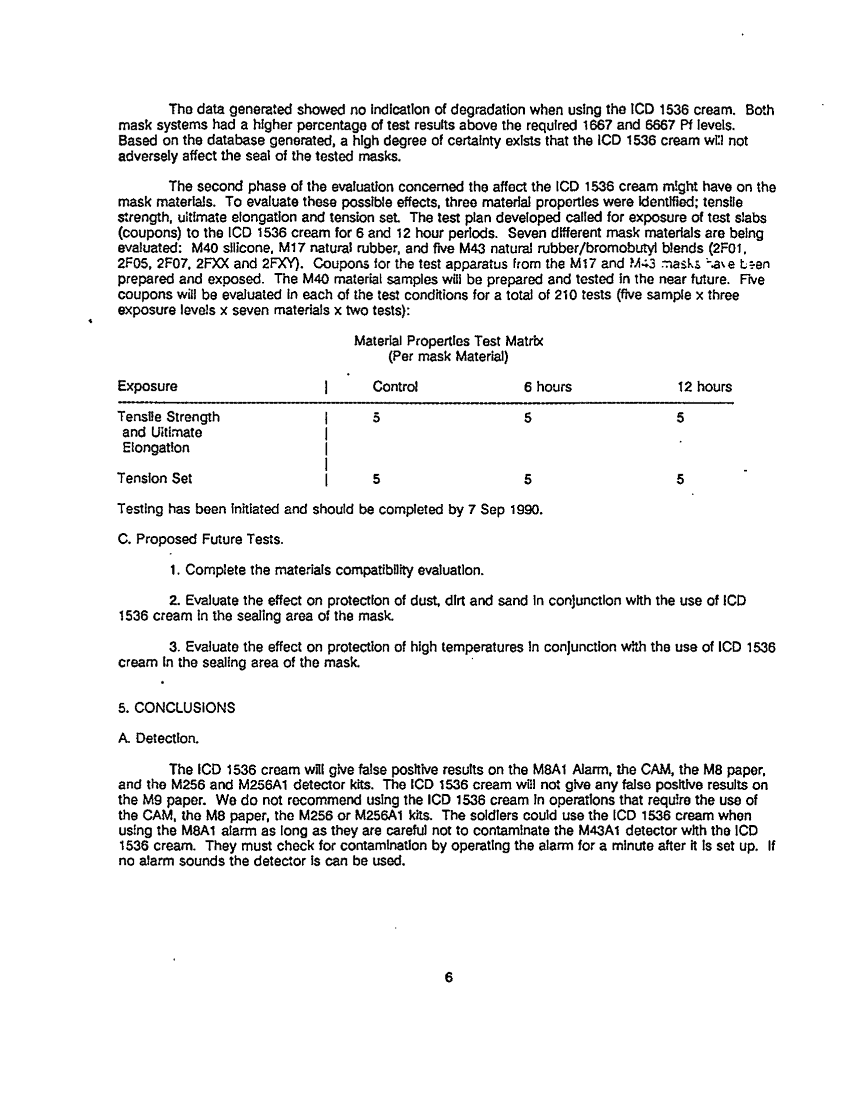
Document 12 f:/Week-36/BX003205/USE OF CHEMICAL WARFARE AGENT TOPICAL SKIL PROTECTANT/cover sheet for document transmission:12249609312320
Control Fields 17
File Room = sep96_declassified
File Cabinet = Week-36
Box ID = BX003205
Unit = OTSG
Parent Organization = HSC
Folder Title = USE OF CHEMICAL WARFARE AGENT TOPICAL SKIL PROTECTANT
Folder Seq # = 13
Subject = COVER SHEET FOR DOCUMENT TRANSMISSION
Document Seq # = 1
Document Date =
Scan Date =
Queued for Declassification = 01-JAN-1980
Short Term Referral = 01-JAN-1980
Long Term Referral = 01-JAN-1980
Permanent Referral = 01-JAN-1980
Non-Health Related Document = 01-JAN-1980
Declassified = 24-DEC-1996