|
First Page
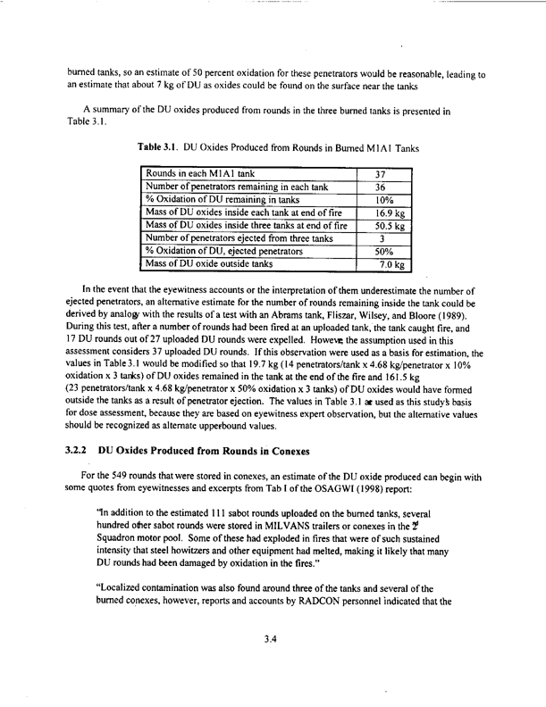
|
Prev Page
| Next Page |
Back to Text
|
Click here to view the full USACHPPM report.