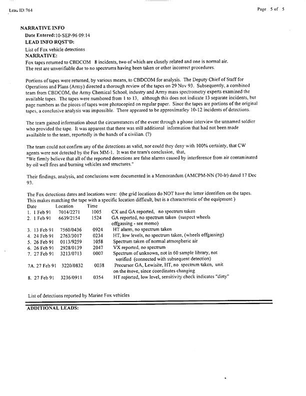
First Page
|
Prev Page
| Next Page |
Back to Text