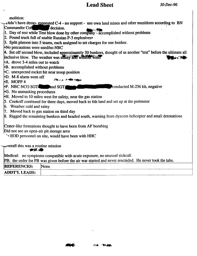
Unit ISG interview, Lead Sheet 843

| First Page | Prev Page | Next Page |