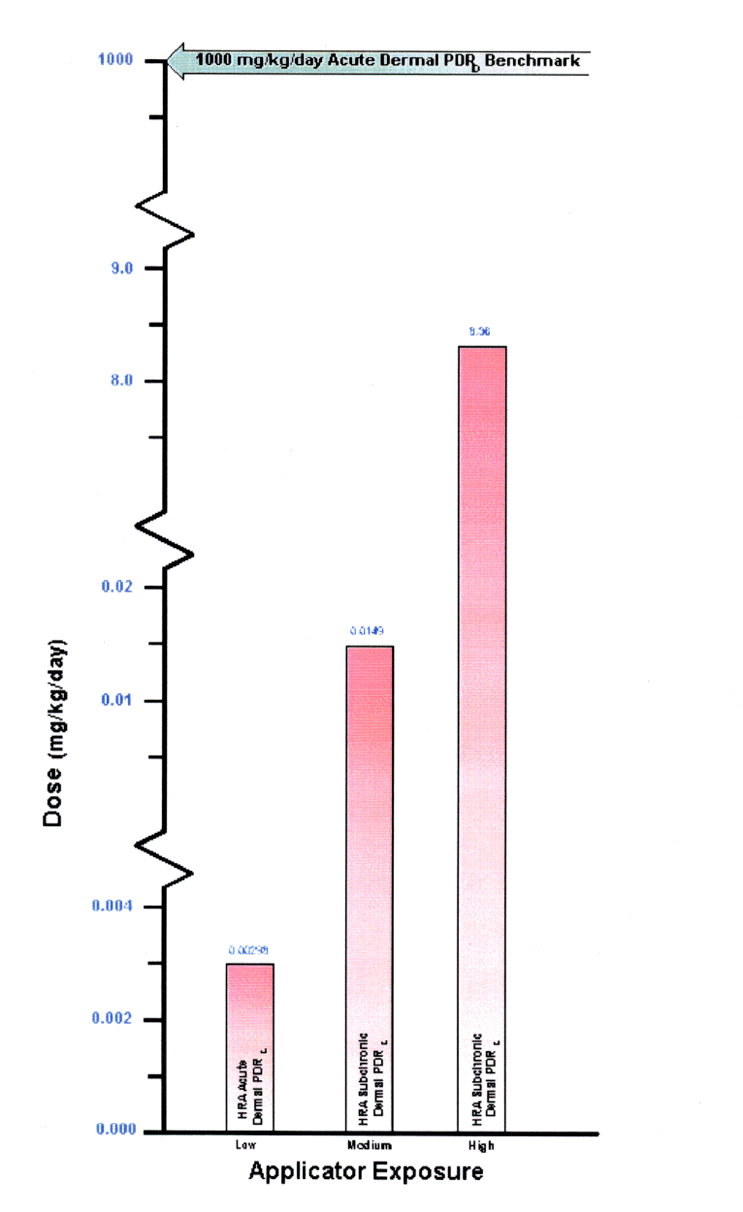
Figure 25. Representation of Estimated Risk


| First Page | Prev Page | Next Page | Back to Text |