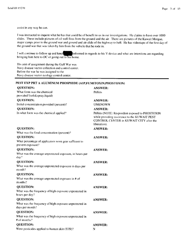
Lead Sheet #15270, Interview with 1st Medical Battalion preventive medicine technician, March 4, 1998.

| First Page | Prev Page | Next Page | Back to Text |