Document Page: First | Prev | Next | All | OCR | This Release | Search

File: 042496_mar_decls80_0001.gif
Page: 0001
Total Pages: 46


Document Page: First | Prev | Next | All | OCR | This Release | Search


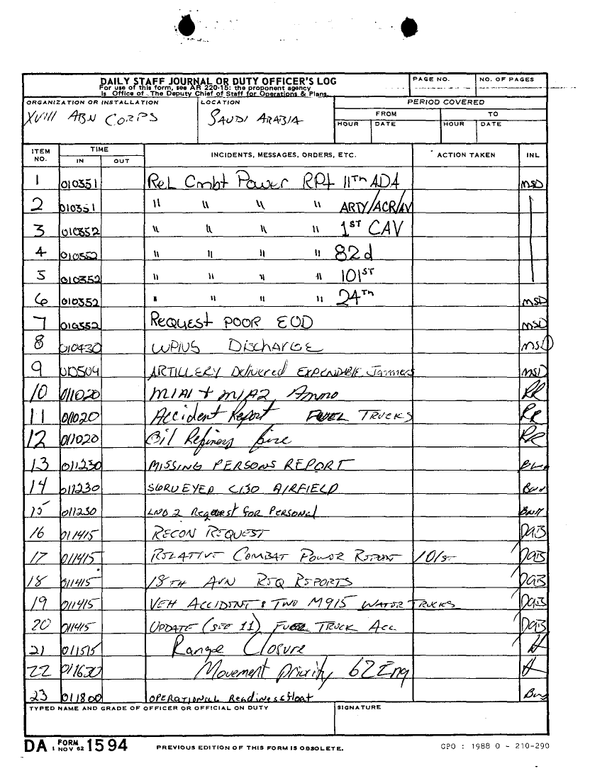
Document 46 f:/Week-12/BX000030/DUTY LOG MAIN CP G3 1 DEC 90/daily staff journal or duty officers log:04179616012091
Control Fields 17
File Room = mar96_declassified
File Cabinet = Week-12
Box ID = BX000030
Unit = XVIII CORPS
Parent Organization = ARCENT
Folder Title = DUTY LOG MAIN CP G3 1 DEC 90
Folder Seq # = 35
Subject = DAILY STAFF JOURNAL OR DUTY OFFICERS LOG
Document Seq # = 2
Document Date = 01-JAN-1980
Scan Date = 27-MAR-1996
Queued for Declassification = 01-JAN-1980
Short Term Referral = 01-JAN-1980
Long Term Referral = 01-JAN-1980
Permanent Referral = 01-JAN-1980
Non-Health Related Document = 01-JAN-1980
Declassified = 17-APR-1996