Document Page: First | Prev | Next | All | OCR | This Release | Search

File: 060596_mar_decls6_0001.gif
Page: 0001
Total Pages: 17


Document Page: First | Prev | Next | All | OCR | This Release | Search


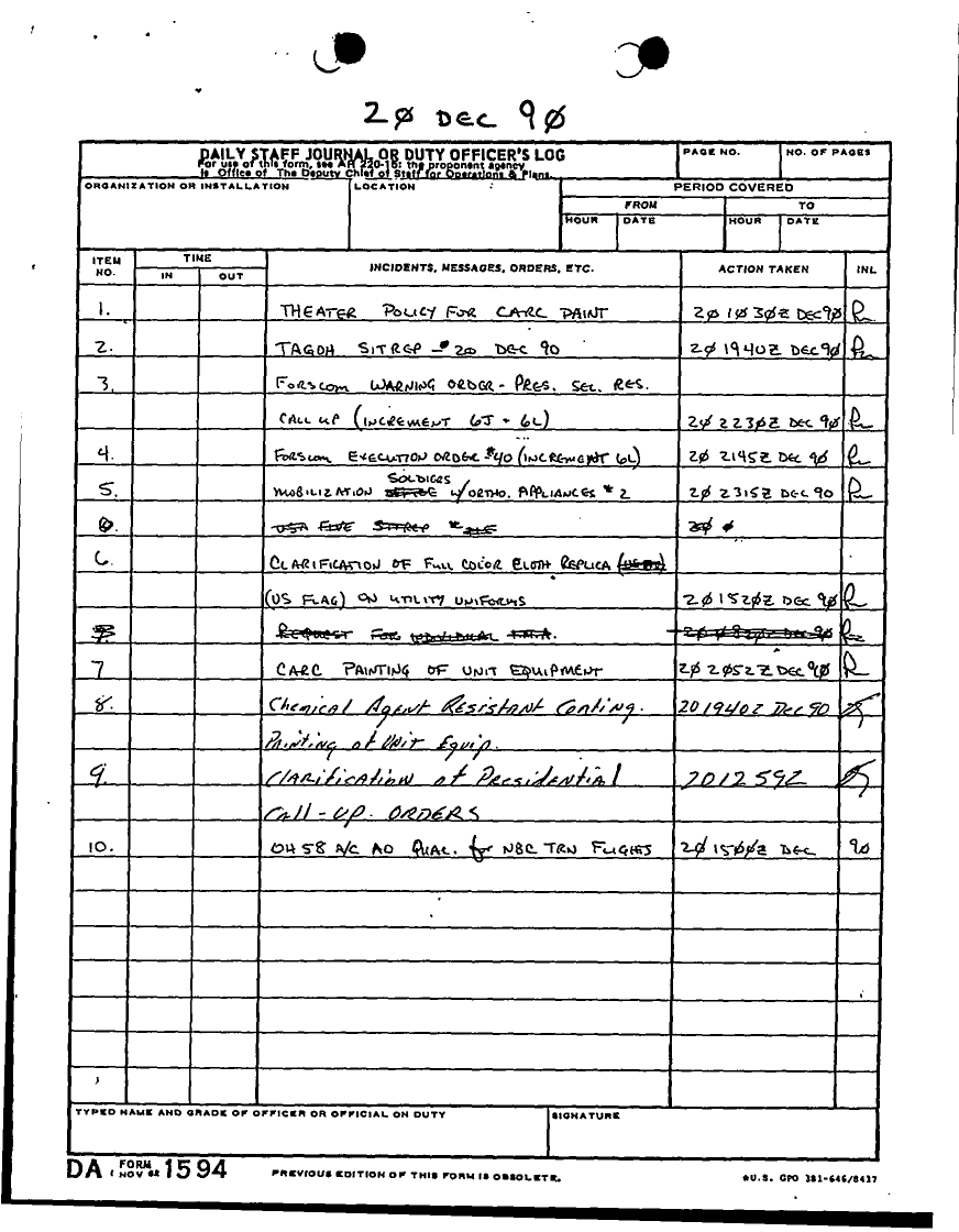
Document 17 f:/Week-10/BX000036/DUTY LOG G3 EOC INCOMING MSGS 20 DEC 90/daily staff journal or duty officer's log:0531961139416
Control Fields 17
File Room = mar96_declassified
File Cabinet = Week-10
Box ID = BX000036
Unit = XVIII CORPS
Parent Organization = ARCENT
Folder Title = DUTY LOG G3 EOC INCOMING MSGS 20 DEC 90
Folder Seq # = 80
Subject = DAILY STAFF JOURNAL OR DUTY OFFICER'S LOG
Document Seq # = 2
Document Date = 01-JAN-1980
Scan Date = 15-MAR-1996
Queued for Declassification = 01-JAN-1980
Short Term Referral = 01-JAN-1980
Long Term Referral = 01-JAN-1980
Permanent Referral = 01-JAN-1980
Non-Health Related Document = 01-JAN-1980
Declassified = 31-MAY-1996