Document Page: First | Prev | Next | All | OCR | This Release | Search

File: 072496_jul96_decls11_0001.gif
Page: 0001
Total Pages: 10


Document Page: First | Prev | Next | All | OCR | This Release | Search


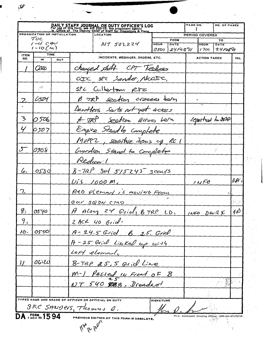
Document 10 f:/Week-27/BX001034/DAILY JOURNAL-STAFF JOURNAL AND TACTICAL OPERATIONS CENTER -TOC- LOGS DESERT STORM 24 FEB 91/daily staff journal:07199611264111
Control Fields 17
File Room = jul96_declassified
File Cabinet = Week-27
Box ID = BX001034
Unit = 1ST ID
Parent Organization = VII CORPS
Folder Title = DAILY JOURNAL-STAFF JOURNAL AND TACTICAL OPERATIONS CENTER -TOC- LOGS DESERT STORM 24 FEB 91
Folder Seq # = 47
Subject = DAILY STAFF JOURNAL
Document Seq # = 11
Document Date =
Scan Date =
Queued for Declassification = 01-JAN-1980
Short Term Referral = 01-JAN-1980
Long Term Referral = 01-JAN-1980
Permanent Referral = 01-JAN-1980
Non-Health Related Document = 01-JAN-1980
Declassified = 19-JUL-1996