Document Page: First | Prev | Next | All | OCR | This Release | Search

File: 970101_jul96_decls4_0001.gif
Page: 0001
Total Pages: 22


Document Page: First | Prev | Next | All | OCR | This Release | Search


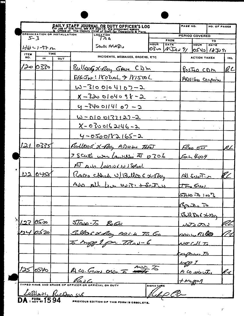
Document 22 f:/Week-28/BX001203/1ST 37TH AR - HHC S-3 DAILY JOURNALS 13 JAN 91 TO 20 FEB 91/daily staff journal 18 jan 91:12269616083417
Control Fields 17
File Room = jul96_declassified
File Cabinet = Week-28
Box ID = BX001203
Unit = 1ST AD
Parent Organization = VII CORPS
Folder Title = 1ST 37TH AR - HHC S-3 DAILY JOURNALS 13 JAN 91 TO 20 FEB 91
Folder Seq # = 6
Subject = DAILY STAFF JOURNAL 18 JAN 91
Document Seq # = 6
Document Date =
Scan Date =
Queued for Declassification = 01-JAN-1980
Short Term Referral = 01-JAN-1980
Long Term Referral = 01-JAN-1980
Permanent Referral = 01-JAN-1980
Non-Health Related Document = 01-JAN-1980
Declassified = 26-DEC-1996